pacman::p_load(tidyverse)Hands_on_ex1
##Step 1: Installing the required libraries
Importing the required data
exam_data <- read_csv("data/Exam_data.csv")##Step 2: View the data in histogram
hist(exam_data$MATHS)
ggplot(data=exam_data, aes(x = MATHS)) +
geom_histogram(bins=10,
boundary = 100,
color="black",
fill="grey") +
ggtitle("Distribution of Maths scores")
##Step 3: Essential Grammatical Elements in ggplot2 with Aesthetic Mapping
ggplot(data=exam_data,
aes(x= MATHS))
Visualising data in Histogram
ggplot(data=exam_data,
aes(x=RACE)) +
geom_bar()
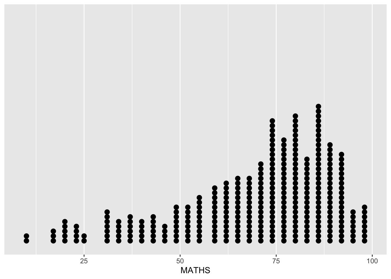
Visualising data in Dotplot
ggplot(data=exam_data,
aes(x = MATHS)) +
geom_dotplot(binwidth=2.5,
dotsize = 0.5) +
scale_y_continuous(NULL,
breaks = NULL) 
Visualising data in Histogram in bins
ggplot(data=exam_data,
aes(x = MATHS)) +
geom_histogram() 
Adding colors
ggplot(data=exam_data,
aes(x= MATHS,
fill = GENDER)) +
geom_histogram(bins=20,
color="grey30")
Visualising data with data plotlines - geomdensity()
ggplot(data=exam_data,
aes(x = MATHS,
colour = GENDER)) +
geom_density()
Visualising data with Boxplot diagrams
ggplot(data=exam_data,
aes(y = MATHS,
x= GENDER)) +
geom_boxplot(notch=TRUE)
Visualising data with violin plot - geomviolin()
ggplot(data=exam_data,
aes(y = MATHS,
x= GENDER)) +
geom_violin()
Visualising data in scatterplot
ggplot(data=exam_data,
aes(x= MATHS,
y=ENGLISH)) +
geom_point() 
Combining boxplot with scatter plot
ggplot(data=exam_data,
aes(y = MATHS,
x= GENDER)) +
geom_boxplot() +
geom_point(position="jitter",
size = 0.5) 
Working with Essential Grammatical Elements in ggplot2: stat
Working with stat summary
ggplot(data=exam_data,
aes(y = MATHS, x= GENDER)) +
geom_boxplot() +
stat_summary(geom = "point",
fun="mean",
colour ="red",
size=4) 
Overriding soothing methods
ggplot(data=exam_data,
aes(x= MATHS,
y=ENGLISH)) +
geom_point() +
geom_smooth(method=lm,
size=0.5)
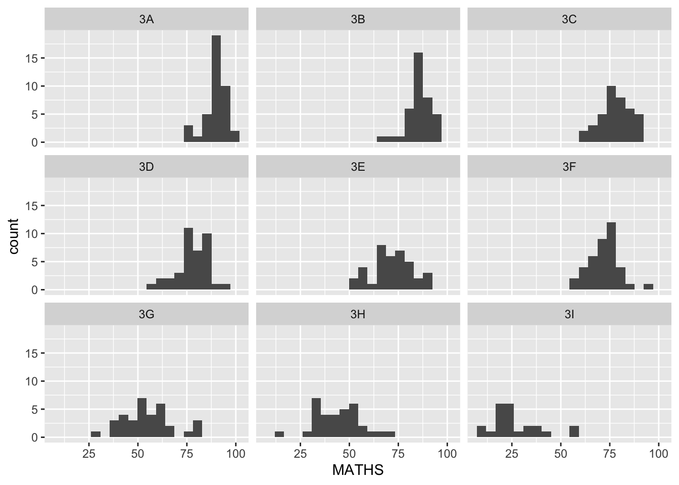
Working with Essential Grammatical Elements in ggplot2: Facet
Using Facetwraps
ggplot(data=exam_data,
aes(x= MATHS)) +
geom_histogram(bins=20) +
facet_wrap(~ CLASS)
Using Facet Grid
ggplot(data=exam_data,
aes(x= MATHS)) +
geom_histogram(bins=20) +
facet_grid(~ CLASS)